產品介紹
所在位置:首頁 - 產品介紹【產品名稱】:舒更葡糖鈉
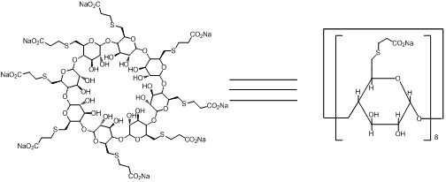
【外觀】:白色或類白色粉末
【CAS No.】:343306-79-6
【分子式】:C72H104Na8O48S8
【分子量】:2178.01
【結構式】:
【含量】:94.0%-102.0%
【質量標準】:企業標準
【包裝規格】:25KGS/DRUM
【儲存】:避光,密封保存
【常見劑型】:注射劑
【臨床用途】:在成人中拮抗羅庫溴銨或維庫溴銨誘導的神經肌肉阻滯。 兒科患者:在兒童和 青少年中,僅推薦本品用于常規拮抗羅庫溴銨誘導的阻滯(2~17 歲)。
上一條:枸櫞酸托法替布
下一條:鹽酸克林霉素棕櫚酸酯




魯公網安備 37030202000396號 