Products
- Terminal preparation
- Pharmaceuticals
- CMO CDMO
- Biopharmaceuticals
- Animal nutrition and health care
- API
- Medical intermediate
- Fine chemicals
jcpc@jinchengpharm.com
Products
Location:Home - Products
請仔細閱讀說明書并在醫師指導下使用
【藥品名稱】
通用名:依托紅霉素片
英文名:Erythromycin Estolate Tablets
漢語拼音:Yituo Hongmeisu Pian
【成份】本品主要成分為依托紅霉素。
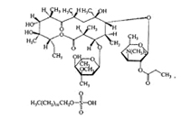
結構式:
分子式:C40H71NO14•C12H26O4S
分子量:1056.4
【性狀】本品為白色片。
【適應癥】
1.本品作為青霉素過敏患者治療下列感染的替代用藥:溶血性鏈球菌、肺炎鏈球菌等所致的急性扁桃體炎、急性咽炎、鼻竇炎;溶血性鏈球菌所致的猩紅熱、蜂窩織炎;白喉及白喉帶菌者;氣性壞疽、炭疽、破傷風;放線菌病;梅毒;李斯特菌病等。
2.軍團菌病。
3.肺炎支原體肺炎。
4.肺炎衣原體肺炎。
5.其他衣原體屬、支原體屬所致泌尿生殖系感染。
6.沙眼衣原體結膜炎。
7.厭氧菌所致口腔感染。
8.空腸彎曲菌腸炎。
9.百日咳。
10.風濕熱復發、感染性心內膜炎(風濕性心臟病、先天性心臟病、心臟瓣膜置換術后)、預防口腔或上呼吸道感染(青霉素的替代用藥)。
【規格】按紅霉素計0.125g (12.5萬單位)
【用法用量】口服。成人一日0.75~2g,分3~4次,兒童每日按體重20~30mg/kg,分3~4次。治療軍團菌病,成人一次0.5~1.0g,一日4次。用作風濕熱復發的預防用藥時,一次0.25g,一日2次。用作感染性心內膜炎的預防用藥時,術前1小時口服1g,術后6小時再服用0.5g。
【不良反應】
1.服用本品后發生肝毒性反應者較服用其他紅霉素制劑為多見,服藥數日或1~2周后患者可出現乏力、惡心、嘔吐、腹痛、皮疹、發熱等。有時可出現黃疸,肝功能試驗顯示淤膽,停藥后常可恢復。
2.胃腸道反應有腹瀉、惡心、嘔吐、中上腹痛、口舌疼痛、胃納減退等,其發生率與劑量大小有關。
3.大劑量(≥4g/日)應用時,尤其肝、腎疾病患者或老年患者,可能引起聽力減退,主要與血藥濃度過高(>12mg/L)有關,停藥后大多可恢復。
4.過敏反應表現為藥物熱、皮疹、嗜酸粒細胞增多等,發生率約0.5%~1%。
5.其他:偶有心律失常、口腔或陰道念珠菌感染。
【禁忌】對紅霉素類藥物過敏者禁用。
【注意事項】
1.服用本品后出現ALT、AST、AKP、膽紅素等增高者較服用其他紅霉素制劑為多見。
2.溶血性鏈球菌感染用本品治療時,至少需持續10日,以防止急性風濕熱的發生。
3.腎功能減退患者一般無需減少用量。
4.患者對一種紅霉素制劑過敏或不能耐受時,對本品也可過敏或不能耐受。
5.慢性肝病、肝功能損害者慎用。
6.因不同細菌對紅霉素的敏感性存在一定差異,故應做藥敏測定。
7.對診斷的干擾:紅霉素可干擾Higerty法的熒光測定,使尿兒茶酚胺的測定值出現假性增高。血清堿性磷酸酶、膽紅素、丙氨酸氨基轉移酶和門冬氨酸氨基轉移酶的測定值均可能增高。
【孕婦及哺乳期婦女用藥】
1.本品可通過胎盤而進入胎兒循環,且孕婦服用本品后出現肝毒性反應的可能性增加,故孕婦不宜應用。
2.紅霉素有相當量進入母乳中,哺乳期婦女應用時宜暫停哺乳。
【兒童用藥】尚未明確。
【老年用藥】尚未明確。
【藥物相互作用】
1.本品可抑制卡馬西平和丙戊酸等抗癲癇藥的代謝,導致后者血藥濃度增高而發生毒性反應。本品與阿芬太尼合用可抑制后者的代謝,延長其作用時間。本品與阿司咪唑或特非那定等抗組胺藥合用可增加心臟毒性,與環孢素合用可使后者血藥濃度增加而產生腎毒性。
2.與氯霉素和林可酰胺類有拮抗作用,不推薦同用。
3.本品為抑菌劑,可干擾青霉素的殺菌效能,故當需要快速殺菌作用如治療腦膜炎時,兩者不宜聯合用藥。
4.長期服用華法林的患者應用本品時可導致凝血酶原時間延長,從而增加出血的危險性,老年病人尤應注意。兩者必須同用時,華法林的劑量宜適當調整,并嚴密觀察凝血酶原時間。
5.除二羥丙茶堿外,本品與黃嘌呤類合用可使氨茶堿的肝清除減少,導致血清氨茶堿濃度升高和(或)毒性反應增加。這一現象在合用6日后較易發生,氨茶堿清除的減少幅度與本品血清峰值成正比。因此在兩者合用療程中和療程后,黃嘌呤類的劑量應予調整。
6.與其他肝毒性藥物合用可能增強肝毒性。
7.大劑量本品與耳毒性藥物合用,尤其腎功能減退患者可能增加耳毒性。
8.與洛伐他丁合用時可抑制其代謝而使血濃度上升,可能引起橫紋肌溶解,與咪達唑侖或三唑侖合用時可減少二者的清除而增強其作用。
【藥物過量】應及時停藥給予對癥和支持治療。血或腹膜透析后極少被消除。
【藥理毒理】本品屬大環內酯類抗生素,為紅霉素丙酸酯的十二烷基硫酸鹽,對葡萄球菌屬、各組鏈球菌和革蘭陽性桿菌均具抗菌活性。奈瑟菌屬、流感嗜血桿菌、百日咳鮑特氏菌等也可對本品呈現敏感。本品對除脆弱擬桿菌和梭桿菌屬以外的各種厭氧菌亦具抗菌活性;對軍團菌屬、胎兒彎曲菌、某些螺旋體、肺炎支原體、立克次體屬和衣原體屬也有抑制作用。本品系抑菌劑,但在高濃度時對某些細菌也具殺菌作用。本品可透過細菌細胞膜,在接近供位(“P”位)處與細菌核糖體的50S亞基成可逆性結合,阻斷了轉移核糖核酸(t-RNA)結合至“P”位上,同時也阻斷了多肽鏈自受位(“A”位)至“P”位的位移,因而細菌蛋白質合成受抑制。本品僅對分裂活躍的細菌有效。
【藥代動力學】空腹或飯后口服都很快吸收,在胃酸中較穩定。蛋白結合率為90%~99%。口服后在胃腸道中分解為紅霉素丙酸酯,部分在血液中水解成游離的紅霉素而起抗菌作用。口服0.25g和0.5g的血藥峰濃度(Cmax)于2小時到達,分別為1.4mg/L和4.2mg/L。吸收后除腦脊液和腦組織外,廣泛分布于各組織和體液中,尤以肝、膽汁和脾中的濃度為最高,在腎、肺等組織中的濃度可高出血藥濃度數倍,在膽汁中的濃度可達血藥濃度的10%~40倍以上。在皮下組織、痰及支氣管分泌物中的濃度也較高,痰中濃度與血藥濃度相仿;在胸、腹水、膿液等中的濃度可達有效水平。本品有一定量(約為血藥濃度的33%)進入前列腺及精囊中,但不易透過血-腦脊液屏障,腦膜有炎癥時腦脊液中濃度僅為血藥濃度的10%左右。可進入胎血和排入母乳中,胎兒血藥濃度為母體血藥濃度的5%~20%,母乳中藥物濃度可達血藥濃度的50%以上。表觀分布容積(Vd)為0.9L/kg。游離紅霉素在肝內代謝,血消除半衰期(t1/2β)為1.4~2小時,無尿患者的血半衰期可延長至4.8~6小時。紅霉素主要在肝中濃縮和從膽汁排出,并進行腸肝循環,約2%~5%的口服量和10%~15%的注入量自腎小球濾過排除,尿中濃度可達10~100mg/L。糞便中也含有一定量。血或腹膜透析后極少被清除,故透析后無需加用。
【貯藏】 遮光,密封保存。
【包裝】 口服固體藥用高密度聚乙烯瓶包裝。每瓶100片。
【有效期】 36個月。
【執行標準】 《中國藥典》2015年版二部。
【批準文號】 國藥準字H31020412
【生產企業】
企業名稱:上海金城藥業有限公司
生產地址:上海市金山工業區攬工路958號
郵政編碼:201506
電話號碼:021-80108056
傳真號碼:021-80108065



